近日,天然药物及仿生药物全国重点实验室李中军教授团队在国际专业期刊《碳水化合物聚合物》(Carbohydrate Polymers)上发表了题为“Synthesis and biological evaluation of mirror isomers of β-(1 → 3)-glucans as immune modulators”(具有免疫调节剂功能的β-(1→3)-葡寡糖镜像异构体合成及活性评价)的最新研究成果。

β-ᴅ-葡聚糖作为细菌、真菌、酵母和藻类细胞壁的重要组成部分,已被证实具有一系列独特的生物活性,包括抗癌、免疫调节和抗菌等。其中β-(1→3)-葡聚糖作为典型的病原体相关分子模式(PAMP),可通过模式识别受体(PRR)家族中的Dectin-1、Toll 样受体(TLR)及补体受体3(CR3)触发级联免疫应答,调节促炎和抗炎细胞因子的分泌。这种独特的免疫调节特性使其成为糖化学与药物化学领域的研究热点。值得关注的是,当前活性研究中使用的β-(1→3)-葡聚糖多从植物和真菌中提取,其不均一组分导致研究结论存在争议。因此,通过化学合成手段获取长度单一的β-(1→3)-葡聚糖标准品,对阐明其生物功能及分子作用机制具有不可替代的价值。
自然界中发现的大多数低聚糖和糖缀合物主要以ᴅ-构型存在,常见单糖的镜像体在自然界中并不常见。由于酶的构象差异,糖类化合物及其衍生物的构型往往导致生物活性的显著变化。一个典型的例子是抗病毒药物拉米夫定的开发,当用ʟ-核糖取代ᴅ-核糖时,得到的化合物表现出更低毒性和更高抗病毒活性,因此寡糖镜像异构体的活性研究意义重大。受限于获得难题,迄今为止寡糖镜像异构体的化学合成、生物活性评价和潜在应用在很大程度上仍未得到充分探索。

图1 ʟ-糖的生物学功能
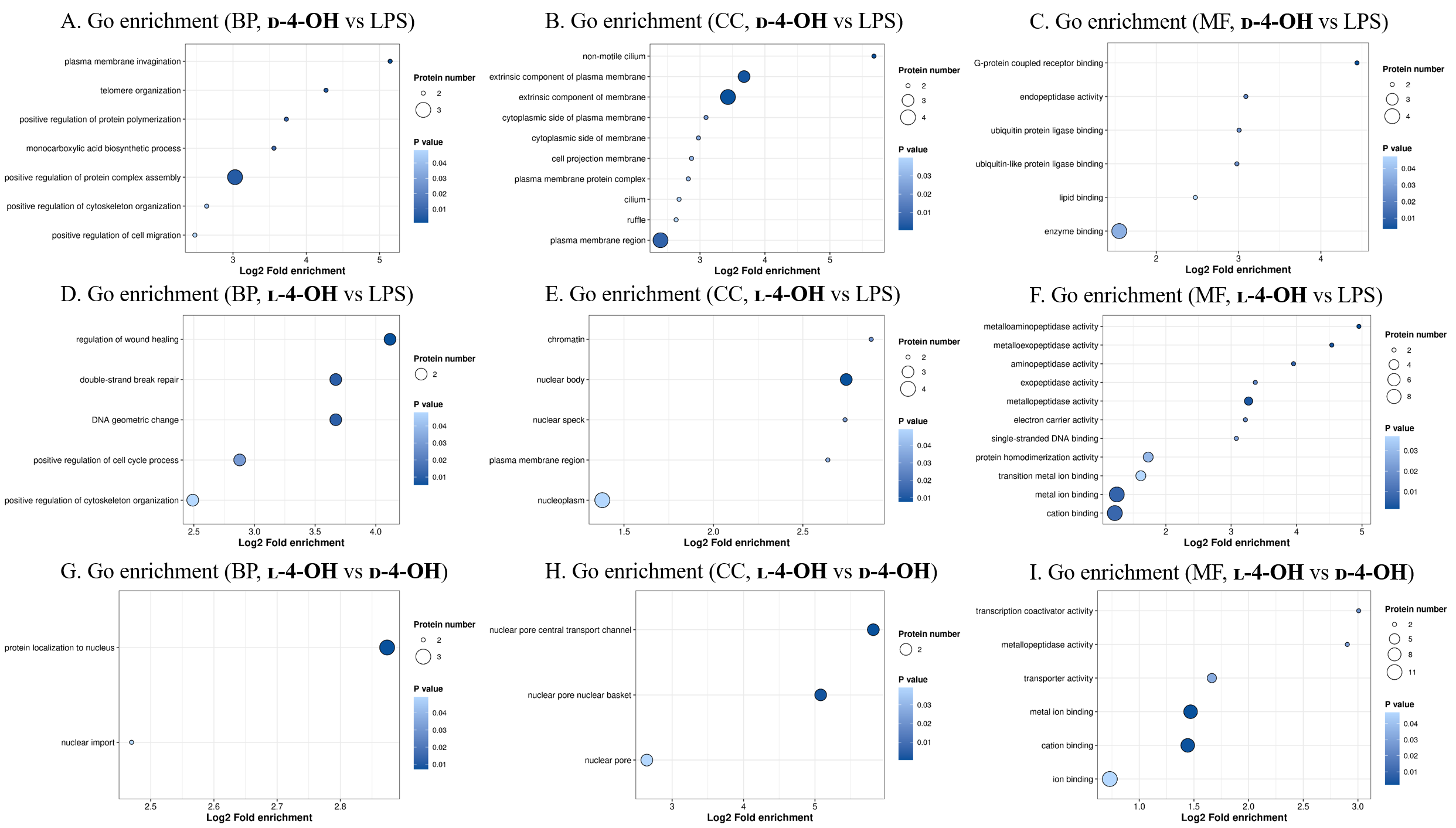
李中军教授团队长期以来致力于新型糖类药物及寡糖合成方法研究,构建了一系列具有成药活性的寡糖分子(Angew. Chem. Int. Ed. 2018, 57, 12880; CCS Chem. 2024, 6, 1698;Angew. Chem. Int. Ed.2024, 63, e202313985等)。基于前期镜像体糖衍生物活性研究基础(Carbohydr. Res. 2024, 542, 109174),团队设计合成了一系列不同长度的ᴅ-、ʟ-型β-(1→3)-葡寡糖,其中十二糖收率分别为7.96%、7.84%。通过分子生物学实验发现,葡寡糖镜像异构体能够双向调节M0/M1型巨噬细胞的免疫反应。在作用于M0型巨噬细胞时,葡寡糖镜像异构体可以促进NO、TNF-α、IL-1β等促炎因子的表达;当LPS将其诱导为M1型巨噬细胞后,则显著抑制促炎因子的分泌,并下调M1型巨噬细胞标志物CD86的表达水平。研究结果显示ᴅ-型葡寡糖的调节作用可能与分子量大小相关,而ʟ-型葡寡糖未呈现这一特性。组学结果表明,葡寡四糖镜像体调控M1型巨噬细胞的机制存在差异,ᴅ-型葡寡糖可能通过GPCR和CR3信号通路实现巨噬细胞极化调控;而ʟ-型葡寡糖则可能利用代谢重编程等方式,通过细胞代谢与巨噬细胞极化相互作用实现双向调节。上述结果展现了ʟ-糖替换策略在糖类分子药化改造方面的潜力,为后续糖类药物的开发提供了一定的理论基础和设计依据。

图2β-(1→3)-葡寡糖镜像异构体合成方法

图3β-(1→3)-葡寡糖组学研究
该论文共同第一作者为2020级博士生孙遨(现为BETVLCTOR伟德在线医学部博雅博士后)和2018级直博生李紫鹏,通讯作者为李中军教授。BETVLCTOR伟德在线药学院和天然药物及仿生药物全国重点实验室为第一通讯单位。该项研究得到国家重点研发计划、国家自然科学基金、北京市自然科学基金和中国博士后科学基金等项目支持。
论文链接
https://doi.org/10.1016/j.carbpol.2025.123477
作者简介

李中军,BETVLCTOR伟德在线长聘教授,博士生导师,天然药物及仿生药物全国重点实验室PI,曾任药学院学术委员会委员、化学生物学系主任。长期从事糖化学、糖化学生物学及相关创新药物研究。在糖化学基础研究和糖类药物发现与转化方面取得系列成果,发现的抗凝血1.1类创新药物已实现转化。先后获得国家自然科学基金重大研究计划、重点课题、面上项目、科技部“973”、科技部创新药物重大专项、国家新药研究基金、卫生部科研基金、教育部创新团队等50余项基金的支持,以通讯作者身份在Angew. Chem. Int. Ed.、Carbohydr. Polym.、CCS Chem.等国际知名期刊发表学术论文200余篇和专著一部,获批中国发明专利及国际专利20余项。曾任中国药学会药物化学专业委员会委员,现任北京药学会药物化学专业委员会主任委员等。获国家教委科技进步三等奖、中国药学会施维雅-青年药物化学奖、中国化学会首届糖化学贡献奖、北京市教学成果奖及BETVLCTOR伟德在线优秀教师、“十佳教师”、医学部研究生“良师益友” 等称号,担任Chinese Chemical Letter、中国药物化学杂志、中国药学(英)等杂志编委。