2022年3月,BETVLCTOR伟德在线人民医院栗占国教授团队研究成果“低剂量IL-2联合甲氨蝶呤治疗类风湿关节炎的有效性及安全性双盲、随机、对照研究”(Efficacy and safety of Ld-IL2 in combination with MTX in patients with active RA: a randomized trial)在权威学术期刊Signal Transduction and Targeted Therapy在线发表。
该研究证明了低剂量IL-2治疗类风湿关节炎的有效性以及安全性。同时,作者分析了低剂量IL-2治疗有效的预测因子,探讨其作用机制,为这种类风湿关节炎新型免疫治疗提供了临床和实验依据。
类风湿关节炎(RA)是一种以慢性、破坏性多关节炎为主要表现的免疫性疾病。目前,该病难以完全临床缓解,耐药率高。亟需新的治疗方法和药物,解决类风湿关节炎治疗缓解率低,高致残的临床难题。
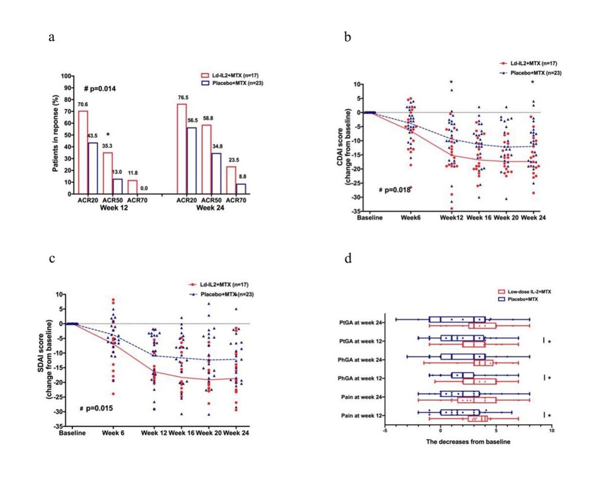
该研究纳入活动性RA患者,进行双盲、随机、安慰剂对照研究,连续3个月低剂量IL-2治疗,随访3个月。研究结果证明,低剂量IL-2联合甲氨蝶呤可显著增加治疗有效率,显著降低临床的疾病活动指数(CDAI)、简化的疾病活动指数(SDAI)。该治疗可明显减低IL-17A, TNF-及IFN-γ等炎症因子,明显增加Treg细胞。体内、体外试验证明IL-2可纠正MTX造成的Treg下降,从作用机制上进一步提供了低剂量IL-2治疗的实验依据。

图1 低剂量IL-2治疗类风湿关节炎临床疗效及评估指标
该研究进一步分析发现,对于难治性RA,伴血管炎患者,该治疗有效。治疗前患者Treg细胞数量低,以及IL-21水平高,则低剂量IL-2治疗更可能有效。Treg细胞和IL21水平可能是低剂量IL-2治疗反应的免疫学预测因子。接受治疗的患者中未发现明显不良反应,无骨髓抑制、肝肾功能损害、感染等。这些结果提示,低剂量IL-2在RA的治疗有疗效预测指标,安全性良好。
张晓盈博士为本文第一作者,栗占国教授、何菁教授为共同通讯作者。该研究受到澳门科技计划项目、国家自然科学基金和清华-北大生命科学联合中心基金支持。
(BETVLCTOR伟德在线人民医院风湿免疫科)