2024年3月9日,肿瘤学领域权威期刊《Journal of Clinical Oncology》发表了BETVLCTOR伟德在线肿瘤医院柯杨/何忠虎课题组“评价内镜筛查食管癌效果的人群随机对照研究(ESECC trial,NCT01688908)”的阶段报告。该研究为国际范围内首次通过大规模社区人群随机对照设计,证明规范的碘染内镜筛查可降低食管癌发病率和死亡率,为我国乃至全球广泛开展的食管癌人群早诊早治工作提供了目前最高等级科学证据。

2022年全球食管癌年龄标化发病率(左)、死亡率(右)地域分布
食管癌是我国高发肿瘤,全球超半数新发病例发生在我国。由于食管癌具有可检出的早期病变阶段且具备有效的临床筛查技术(上消化道内镜),以早诊早治为目标的人群筛查(二级预防)是现阶段食管癌防控的主要手段。目前,支持食管癌筛查有效的证据主要来自于观察性队列研究和非随机对照研究。受限于设计等级,无法规避领先时间偏倚、病程长短偏倚和混杂偏倚对评估结果的影响,这导致我国广泛开展的食管癌人群筛查工作一直无法写入国际癌症筛查指南。开展大规模社区人群随机对照研究(Randomized Controlled Trial, RCT),科学阐明内镜筛查在降低晚期食管癌发病和死因别死亡方面的功效,是实现这一关键突破的必经之路。
2012年1月,BETVLCTOR伟德在线肿瘤医院遗传学研究室课题组与河南省滑县人民政府、卫生主管部门及医疗机构合作,启动了国际首项“评价内镜筛查食管癌效果的人群随机对照研究—ESECC Trial”。该研究在滑县全县域随机选取 668个行政村,采用人口区组随机设计以村为单位将其分为“内镜筛查组”和“对照组”,纳入目标村45-69岁常住居民作为研究对象。筛查组进行标准的上消化道碘染内镜筛查和病理诊断,对照组不进行筛查,两组接受统一的流行病学调查与肿瘤发病和死亡等结局事件随访。
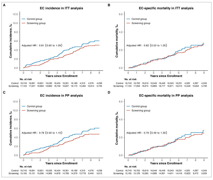
该研究于2016年9月完成全部研究对象入组和基线筛查工作,共纳入研究对象3.4万人,随访时长9年进行阶段汇总。意向性(Intention-to-treat, ITT)分析结果显示,与对照组相比,筛查组食管癌发病率、死亡率分别降低19%与18%;符合方案(Per-protocol, PP)分析中,上述比例扩大至22%和21%;若排除筛查组中未应答者和筛查后未能接受及时治疗的食管恶性病变患者,内镜筛查可使晚期食管癌发病和死亡风险均显著降低30%。

ESECC研究筛查组与对照组累积食管癌发病率、死亡率
(基于竞争风险事件累积发生函数估计)
除上述结果外,该项研究还提出,在我国广泛开展的食管癌人群早诊早治工作中,应针对筛查检出恶性病变患者建立基于区域医疗机构的专科协作联盟,形成闭环的筛查服务和管理体系,促进恶性病变患者接受及时规范诊疗。此外,由于食管鳞状上皮癌化自然进程长,在降低死亡率方面的筛查获益需要5年以上才逐渐显现,因此,ESECC研究亦将对两组人群进行持续跟踪和比较。
ESECC研究的阶段报告不仅实现了食管癌筛查效果评价的关键突破,初步填补了该领域的证据空白,为我国和世界范围内食管癌的人群防治工作指南的制定提供了核心基础。同时,也深刻揭示了真实世界筛查实践中,影响筛查效果的一系列关键因素,为后续建立更为精准、高效的食管癌防治方案提供了重要依据。
ESECC研究十余年的现场工作锻炼出了一支具有基层实战经验和对癌症筛查有深刻理解的肿瘤流行病学团队。该项目所积累的来自于数万人的内镜筛查数据、流行病学调查数据、结局随访数据以及超过40万人份的多种类、多时间断面生物样本也为我国食管癌防治领域的科研创新和转化提供了高质量平台。基于ESECC研究,该课题组在食管癌自然史与发病机制、筛查前风险评估与高危人群识别、筛查后个体化监测与管理、多组学早期预警标志物以及多来源大数据挖掘与应用等多个领域进行系统攻关,在J Clin Oncol, GUT, Cell Rep Med, EClinicalMedicine, EBioMedicine, Clin Gastroenterol Hepatol, Gastrointest Endosc, J Pathol, J Clin Epidemiol, Lancet Reg Health-WP, China CDC Wkly等多领域权威期刊发表科研论文40余篇。依据中国癌症筛查的实际需求,系统提出并推广“基于风险分级的上消化道癌联合序贯筛查新模式”,促进了我国癌症防治工作的精准化、普惠化与可持续发展。

ESECC研究现场工作照片
该项研究得到了国家卫生公益性行业科研专项(201202014)、国家自然科学基金重点项目(30930102)、北京市自然科学基金重大项目(7100001)、“973”计划(2011CB504300)和国家重点研发计划(2016YFC0901404)等多项科研基金资助,以及河南省安阳市人民政府与河南省滑县人民政府、河南省安阳市肿瘤医院、河南省滑县卫生健康委、河南省滑县疾病预防控制中心、河南省滑县人民医院、BETVLCTOR伟德在线第三医院、华北理工大学附属医院、山东省千佛山医院及BETVLCTOR伟德在线肿瘤医院相关团队的大力支持。
原文链接:https://ascopubs.org/doi/10.1200/JCO.23.01284
(BETVLCTOR伟德在线肿瘤医院)